欢迎光临~西安蓝晶瑞纳生物科技有限公司
语言选择: 中文版 ∷  英文版

中间体

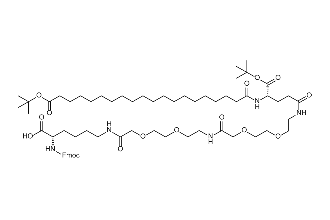
  • Tirzepatide替尔泊肽侧链(Fmoc)
Tirzepatide替尔泊肽侧链(Fmoc)

Tirzepatide替尔泊肽侧链(Fmoc)

  • 名称Fmoc-L-Lys[C20-OtBu-γ-Glu(OtBu)-AEEA-AEEA]-OH
  • CAS 2915356-76-0
  • 分子量1224.59
  • 产品描述:
  • 在线订购

Fmoc-L-Lys[C20-OtBu-γ-Glu(OtBu)-AEEA-AEEA]-OH,Tirzepatide替尔泊肽侧链(Fmoc),2915356-76-0

上一个:Piperidinoethyl polystyrene 下一个:HMBA LINKER

联系我们

CONTACT US

联系人:王先生

手机:17391586252

电话:17391586252(微信同号)

邮箱:498295960@qq.com

地址: 西安市高新区高新二路14号